在线钠离子监测仪的工作原理
时间:2024-11-25 来源:科创星光
钠离子监测仪的工作原理分为测量原理和电气原理。
测量原理
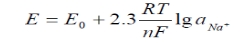
钠电极的电位对钠离子浓度变化的响应可用能斯特方程描述:

式中:E — 钠电极所产生的电位,mV;
E0— 当钠离子活度为1mol/L时,钠电极所产生的电位,mV;
R — 理想气体常数;8.314JK-1mol-1;
T — 样水绝对温度,K;
F — 法拉第常数,9.649×104C·mol-1
n — 参加反应的得失电子数,钠离子为 +1;
Na+ — 溶液中钠离子的活度,mol/L。
以上方程式表明,所测量的电位随着温度和相关离子浓度的变化而变化。为了消除样水温度波动造成的误差,仪器会根据温度值随时补偿钠离子的测量值。
从能斯特方程可以知道,在25℃时钠离子选择电极对十倍离子浓度变化的理论响应值为59.16mV,这被称为电极斜率(S)。然而大多数电极并不表现为理论斜率,因此需要校准仪器以确定电极的真实斜率值。在具体使用中,我们用两个标准溶液来标定出电极的真实斜率值和零点。
在测量过程中,氢离子的存在会对测量造成很大的干扰,为了消除这种干扰,必须在水样中添加碱化剂,使水样的pH值提高到10.5以上。
分析流路
检测池结构能够保持流路恒压,同时可切换标定流路和测量流路。通道切换可由用户自行设定时间切换,实时监测水样碱化后的pH值,控制点可由用户设定,防止水样碱化不足或碱化过量,适量消耗碱化液,减少更换碱化液的频率。流路如下图3.2.1所示:

电气原理
仪器的电气原理见下图3.3.1所示,系统主要由两部分组成。
1、检测驱动部分:驱动仪表流路系统各执行部件(电磁阀)和气泵,并对检测信号进行数字化处理,实现了仪器的自动化动作和信号转换,以及电信号的数字化过程。这部分由测量流路、检测电极、电路板(单片机)、电磁阀和气泵组成。

2、显示输出部分:对检测到的数据进行存储和显示;输出开关(报警输出)和模拟信号,适用于控制各种自动化设备;可通过触摸屏操作来对仪器进行参数设置、校准、测试以及查询历史测量数据(曲线)。
本栏目部分信息来源于互联网,本着传播知识、有益学习和研究的目的进行的转载,为网友免费提供,并以尽力标明作者与出处,如有著作权人或出版方提出异议,本站将立即删除。如果您对文章转载有任何疑问请告之我们,以便我们及时纠正。联系方式:18101268918
上一篇: 在线联氨监测仪的工作原理
下一篇: 在线式酸碱浓度计的工作原理
延伸阅读











